Warbird Information Exchange

DISCLAIMER: The views expressed on this site are the responsibility of the poster and do not reflect the views of the management.
It is currently Tue Apr 21, 2026 12:03 pm

All times are UTC - 5 hours


Classic Wings Magazine WWII Naval Aviation Research Pacific Luftwaffe Resource Center
When Hollywood Ruled The Skies - Volumes 1 through 4 by Bruce Oriss


Post new topic Reply to topic  [ 14 posts ] 
Author Message
PostPosted: Fri Jul 29, 2022 8:49 pm 
Offline

Joined: Sat Oct 16, 2004 2:36 pm
Posts: 32
Location: Christchurch New Zealand
I'm sure some folks here will be able to explain this matter.....what is the system behind the makeup of T.O. publications numbers from WW2.

I've been chasing down assorted Lockheed manuals and have

Parts books for AT-11 Hudson variant 01-75KA-4
PV-1 Ventura 01-55EC-4
Erection and Maintenance for AT-11 Hudson variant 01-75KA-2
C-60 Lodestar 01-75CE-2
Pilot's notes for PV-1 Ventura 01-55EC-1

So the system seems to be the last digit is the manual functionally (having 1, 2, 4 above, and possibly other?) and the first 01 seems constant but the bit in the middle seems more elaborate. I infer that in the examples above the 75 identifies the builder as Lockheed and the 55 is for Vega, correct?

So how are two alphas after the maker id allocated?

I've recently tracked down that the US manuals for the RAF build type Hudsons are 75AB for the A-29 and 75AD for A-28 so to leap to 75KA for the AT-11 seems bizarre why not 75AE?

TIA


Top
 Profile  
 
PostPosted: Sun Jul 31, 2022 5:07 pm 
Offline
2000+ Post Club
2000+ Post Club
User avatar

Joined: Tue Aug 28, 2012 4:48 pm
Posts: 2023
Location: Cincinnati, Ohio
Ester Aube of AirCorps Library wrote a pair of blog posts a while back that should have most of the answers you are looking for:

_________________
Tri-State Warbird Museum Collections Manager & Museum Attendant

Warbird Philosophy Webmaster


Top
 Profile  
 
PostPosted: Sun Aug 07, 2022 6:36 pm 
Offline

Joined: Sat Oct 16, 2004 2:36 pm
Posts: 32
Location: Christchurch New Zealand
Ah great stuff thanks Noha


Top
 Profile  
 
PostPosted: Thu Feb 01, 2024 6:05 pm 
Offline
2000+ Post Club
2000+ Post Club
User avatar

Joined: Tue Aug 28, 2012 4:48 pm
Posts: 2023
Location: Cincinnati, Ohio
Just to follow up on this, Aircraft Engineering for Pilots, AFM 51-42, explains the system in chapter 17:
Aircraft Engineering for Pilots wrote:
Titles and Numbering System

The title of each technical order (other than
handbooks) and the numbering system conists
of three parts.

The first part of the title, known as the
general title, is that of the general Air Forces
property class of the equipment to which the
technical order pertains. For example, one
general title is Aircraft and Maintenance Parts
and another is Aircraft Engines and Mainte-
nance Parts.

The second part, known as the group title,
is a further grouping of related subjects under
a main class group. For example, if the general
title is Aircraft and Maintenance Parts, the
group title will either be general or it will be
the name of the contractor manufacturing
the equipment, such as Boeing, Bell, Republic,
or the like.

The third part, known as the subject title,
indicates as precisely as possible the nature of
the contents and the particular equipment or
parts to which the order pertains. (For com-
plete assembly of title see table below.)

Attachment:
File comment: Technical Order Numbering System
Technical Order Numbering System.png



For the purpose of identification, indexing,
and filing, technical orders are assigned num-
bers consisting of two or more parts, separated
by dashes. These numbers appear in the upper
right-hand corner of the first page of each
technical order and in the upper center of
each succeeding page.

The first part of the number normally cor-
responds to the number of the Air Force
property class concerned, except that the 00
series is established for indexes, for technical
orders pertaining to the subject of publications,
and for miscellaneous instructions which can-
not be otherwise classified. For example,
the number 06 is the first part of the number
of all technical orders pertaining to fuels,
lubricants, and gases; the Air Force property
class for fuels, lubricants and gases is 06.

The second part is a number assigned to
identify all the technical orders pertaining to
a particular subdivision (type, model, and the
like) of the general property class covered.
For example, under the general class 06, fuels,
lubricants, and gases, the number 5 is assigned
to all technical orders covering fuels; the
number 10 to those covering lubricants, and
so on. A letter may be added to the second part
of a technical order number in order that a
suitable subseries may be established for num-
bering different types of equipment, such as
bombardment or fighter aircraft. An addi-
tional letter (or letters) is sometimes added
in other that a more specific designation within
a subseries may be established in order that
publication numbers may be assigned to
particular models of equipment.

The third part of the number consists of
serial numbering, beginning with the number
1. In individual technical orders of each sub-
division of a general property class, a separate
series of numbers is used for each subdivision.
For example, under class 06 and subdivision 10,
all technical orders on lubricants are numbered
in the other of their issue, that is, 06-10-1,
06-10-02, and so on. When supplements are
issued as separate publications, they are
designated by adding a suffix letter to the
technical order number. For example, supple-
ments to T. O. 06-10-3 will be numbered
06-10-3A, 06-10-3B, and so on. Letter suffixes
may also be used for insuring a file location
adjacent to a particular technical order when
the next consecutive serial number has been
previously assigned.

NOTE: Some variation of the basic
numbering system exists in the dif-
ferent classes and subclasses of Air
Force property. A study of the 00-1 series
(index) will aid substantially in obtaining
a practical working knowledge of such
variations.

TYPES OF TECHNICAL ORERS

Technical orders are divided into four
general types - standard handbooks, parts
catalogs, time-compliance technical orders,
and miscellaneous technical orders. Publica-
tions in this group contain basic instructions
and information relating to operation, service,
repair and overhaul of Air Force aircraft and
equipment.

Aircraft Handbooks

For property class 01 (airplanes) the three
following basic handbooks are published for
each type, make, and model of airplane.

(-1) PILOT FLIGHT OPERATING INSTRUC-
TIONS. This handbook contains a complete
description of, and complete instructions for,
the proper operation of a particular type of
airplane. It is for the pilot's use and a copy
must be carried in the aircraft at all times.
The basic handbook for the B-29 is numbered
01-20EJ-1; the one for the T-6F is numbered
01-60F-1.

(-2) ERECTION AND MAINTENANCE INSTRUC-
TIONS. This handbook specifies the inspec-
tions to be performed, service instructions,
minor repair instructions, and tables of specifi-
cations which give important data on the
aircraft concerned.

(-3) STRUCTURAL REPAIR INSTRUCTIONS.
This handbook provides detailed instructions
for disassembly, inspect of parts, repair
and reassembly of the aircraft concerned.

(-4) PARTS CATALOG. This catalog lists
the parts numbers and complete nomenclature
of each part assembled in the aircraft con-
cerned.

NOTE: In addition to these four basic
handbooks, the (-5), Basic Weight Check
List and Loading Data is used as refer-
ence when applicable. For late-model
aircraft,a (-6) publication entitled Inspec-

Attachment:
File comment: Technical Order Types
Technical Order Types.png
Technical Order Types.png [ 315.8 KiB | Viewed 24216 times ]


tion and Maintenance Requirements is
also published. This (-6) T. O. outlines
the intermediate and major inspection
requirements and contains data relevant
to procedures and manpower necessary
to keep the aircraft airworthy.

Engine Handbooks

For propery class 02 (engines), the three
following basic handbooks are published for
each type, make and model of aircraft engine.
No handbook (-1), Flight Operating In-
structions, is published for engines.

(-2) SERVICE INSTRUCTIONS. This hand-
book lists the special tools and gives instruc-
tions for servicing the engine.

(-3) OVERHAUL INSTRUCTIONS. This hand-
book lists all essential tools required and
gives instructions for disassembly, repair, and
reassembly of the engine concerned.

(-4) PARTS CATALOG. This catalog lists
the name and number of each part of a
particular engine in alphabetical and numer-
ical order and indicates the other engine
models with which each is interchangeable.

Equipment Handbooks

Equipment handbooks, covering specific
items of airborne and ground equipment, are
issued to cover overhaul procedures, and when
necessary, to provide operating and service
instructions for these items. For example, a
T. O. on a certain type of starter or generator
will describe in detail the maintenance and
overhaul procedure for this item.

(Source: Aircraft Engineering for Pilots, AFM 51–54 (Washington: Department of the Air Force, 1952), 17-2-17-4.)

_________________
Tri-State Warbird Museum Collections Manager & Museum Attendant

Warbird Philosophy Webmaster


Top
 Profile  
 
PostPosted: Fri Feb 02, 2024 12:36 pm 
Offline
2000+ Post Club
2000+ Post Club
User avatar

Joined: Tue Aug 28, 2012 4:48 pm
Posts: 2023
Location: Cincinnati, Ohio
The 1 October 1945 edition of the Numerical Index of Technical Publications, T.O. 00-1, has a list of group numbers by manufacturer for airplanes (01-), engines (02-) and aerial targets and gliders (09-). Unless otherwise referenced, all of the entries below come from this source:

Aircraft (Group Number - Manufacturer)
  • -5 - Consolidated or Consolidated-Vultee[1]
  • -15 - Northrop
  • -20 - Boeing
  • -25 - Curtiss or Curtiss-Wright[1]
  • -35 - Martin
  • -40 - Douglas
  • -50 - Vultee or Stinson or Consolidated-Vultee[1]
  • -55 - Vega
  • -60 - North American
  • -65 - Republic
  • -70 - Boeing (Wichita) [aka Stearman]
  • -75 - Lockheed
  • -85 - Grumman
  • -90 - Beech
  • -100 - Ryan
  • -105 - Waco
  • -110 - Bell
  • -115 - Fairchild
  • -125 - Cessna
  • -130 - Fleetwing
  • -135 - Taylorcraft
  • -140 - Piper
  • -145 - Aeronca
  • -150 - de Havilland
  • -155 - Noorduyn
  • -160 - Interstate
  • -170 - Howard
  • -175 - Federal
  • -185 - Budd
  • -230 - Sikorsky
  • -235 - General Motors [aka Fisher]
  • -240 - Hughes
  • N/A - Kellet

Engines (Group Number - Manufacturer)
  • -5 - Allison
  • -10 - Pratt & Whitney
  • -15 - Lycoming
  • -30 - Jacobs
  • -35 - Wright
  • -40 - Continental
  • -50 - Ranger
  • -55 - Packard
  • -60 - Kinner
  • -70 - Aircooled (Franklin)
  • -75 - Warner
  • -105 - General Electric

Aerial Targets and Gliders (Group Number - Manufacturer)
  • -5 - Culver
  • -15 - Leister-Kaufmann
  • -20 - Fleetwing
  • -25 - Aeronca
  • -30 - Schweitzer
  • -35 - Taylorcraft
  • -40 - Waco
  • -45 - Frankfort
  • -50 - Piper
  • -55 - Commonwealth

(Source: [Numerical Index of Technical Publications], T.O. 00-1, 1 October 1945, 3, 10, 56, 134.)

_________________
Tri-State Warbird Museum Collections Manager & Museum Attendant

Warbird Philosophy Webmaster


Top
 Profile  
 
PostPosted: Thu Apr 04, 2024 6:02 pm 
Offline
2000+ Post Club
2000+ Post Club
User avatar

Joined: Tue Aug 28, 2012 4:48 pm
Posts: 2023
Location: Cincinnati, Ohio
The Pilot Training Manual for the P-40 has a chart listing the applicable technical orders for various variants that is particularly useful for understanding the format:
Attachment:
Technical Orders for the P-40.png
Technical Orders for the P-40.png [ 764.63 KiB | Viewed 23777 times ]

(Source: Pilot Training Manual for the P-40 (Headquarters, AAF, Office of Flying Safety, n.d.), 91.)

_________________
Tri-State Warbird Museum Collections Manager & Museum Attendant

Warbird Philosophy Webmaster


Top
 Profile  
 
PostPosted: Fri Jul 19, 2024 4:57 pm 
Offline
2000+ Post Club
2000+ Post Club
User avatar

Joined: Tue Aug 28, 2012 4:48 pm
Posts: 2023
Location: Cincinnati, Ohio
Slightly off topic, but still similar enough to be relevant are the company designations used by manufacturers as prefixes for part numbers. As mentioned in another thread, an extensive list was available from the Aviation Archaeological Investigation and Research website.

The parts catalog for the T-6 explains how this also applies to drawing numbers:
Attachment:
NAA Drawing Numbering System.png
NAA Drawing Numbering System.png [ 1.15 MiB | Viewed 22751 times ]

(Source: Parts Catalog: USAF Series T-6D (AT-6D), T-6F (AT-6F); Navy Models SNJ-5, SNJ-6 Aircraft, AN 01-60FF-4, 13 July 1948, 4.)

_________________
Tri-State Warbird Museum Collections Manager & Museum Attendant

Warbird Philosophy Webmaster


Top
 Profile  
 
PostPosted: Fri Apr 04, 2025 11:51 pm 
Offline
2000+ Post Club
2000+ Post Club
User avatar

Joined: Tue Aug 28, 2012 4:48 pm
Posts: 2023
Location: Cincinnati, Ohio
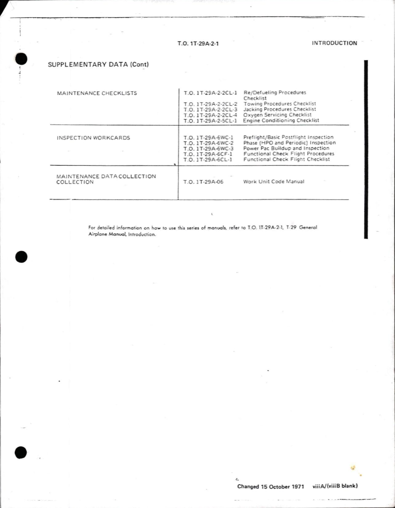
Due to the increasing complexity of aircraft, at some point postwar it no longer was practicable to have all of the different systems in a single manual. Therefore, the Air Force began subdividing maintenance manuals, that is to say -2s, into separate volumes. These "sectionalized handbooks" were identified with an additional dash number following on the end of the T.O. number. (e.g. -2-1, -2-2, -2-3, etc.) The 1 October 1973 edition of T.O. 1T-29A-2-1 has a helpful introduction to the system:
Attachment:
T.O. 1T-29A-2-1, 1 October 1972, page ii.png
T.O. 1T-29A-2-1, 1 October 1972, page ii.png [ 517.22 KiB | Viewed 20288 times ]

Attachment:
T.O. 1T-29A-2-1, 1 October 1972, page iii.png
T.O. 1T-29A-2-1, 1 October 1972, page iii.png [ 515.46 KiB | Viewed 20288 times ]

Attachment:
T.O. 1T-29A-2-1, 1 October 1972, page iv.png
T.O. 1T-29A-2-1, 1 October 1972, page iv.png [ 437.55 KiB | Viewed 20288 times ]

Attachment:
T.O. 1T-29A-2-1, 1 October 1972, page v.png
T.O. 1T-29A-2-1, 1 October 1972, page v.png [ 285.18 KiB | Viewed 20288 times ]

Attachment:
T.O. 1T-29A-2-1, 1 October 1972, page vi.png
T.O. 1T-29A-2-1, 1 October 1972, page vi.png [ 306.91 KiB | Viewed 20288 times ]

Attachment:
T.O. 1T-29A-2-1, 1 October 1972, page vii.png
T.O. 1T-29A-2-1, 1 October 1972, page vii.png [ 359.42 KiB | Viewed 20288 times ]

Attachment:
T.O. 1T-29A-2-1, 1 October 1972, page viii.png
T.O. 1T-29A-2-1, 1 October 1972, page viii.png [ 346.71 KiB | Viewed 20288 times ]

Attachment:
T.O. 1T-29A-2-1, 1 October 1972, page viiiA.png
T.O. 1T-29A-2-1, 1 October 1972, page viiiA.png [ 198.47 KiB | Viewed 20288 times ]

(Source: AirCorps Library)

For comparison, the 28 March 1967 edition of T.O. 1U-16(H)A-2-1 lists the following on the title page:
  • T.O. 1U-16(H)A-2-1 - General Aircraft
  • T.O. 1U-16(H)A-2-2 - Ground Handling, Servicing and Airframe Maintenance
  • T.O. 1U-16(H)A-2-3 - Pneudraulics
  • T.O. 1U-16(H)A-2-4 - Power Plant
  • T.O. 1U-16(H)A-2-5 - Fuel Systems
  • T.O. 1U-16(H)A-2-6 - Landing Gear
  • T.O. 1U-16(H)A-2-7 - Flight Controls
  • T.O. 1U-16(H)A-2-8 - Instruments
  • T.O. 1U-16(H)A-2-9 - Electrical System
  • T.O. 1U-16(H)A-2-10 - Radio, Communications, and Navigation Systems
  • T.O. 1U-16(H)A-2-11 - Wiring Data
(Source: Organizational Maintenance, General Aircraft: USAF Models HU-16A, HU-16B Aircraft, T.O. 1U-16(H)A-2-1, 1967, i-ii.)

By comparing the two above, it seems that the first two books are always the same. Following that, the order appears to remain the same even if some of the sections are not present. Furthermore, the first editions of these manuals date to 1957 and 1959, respectively - potentially indicating when the system was initially implemented.

EDIT (25-04-24): Added 1 additional chapter to the HU-16 maintenance manual. I had missed it because it was on the back side of the table of contents.

_________________
Tri-State Warbird Museum Collections Manager & Museum Attendant

Warbird Philosophy Webmaster


Top
 Profile  
 
PostPosted: Sun May 04, 2025 12:32 am 
Offline
2000+ Post Club
2000+ Post Club
User avatar

Joined: Tue Aug 28, 2012 4:48 pm
Posts: 2023
Location: Cincinnati, Ohio
A detailed explanation of the purpose, format and types of each type of technical order can be found in a textbook intended for Reserve Officers' Training Corps students from 1949:
Air Force Armament, Volume I wrote:
5. AIR FORCE TECHNICAL
 PUBLICATIONS

General
 When a person buys a new commercial ap-
pliance, car, or other mechanical contrivance,
a little folder of operating and maintenance
instructions is usually furnished by the man-
ufacturer. These instructions are supplied in
order that the user may obtain the greatest
possible satisfaction from his purchase. The
manufacturer goes to considerable work and
expense to provide the user with printed in-
formation about his product.
 In the same way, the Air Force is vitally
interested in seeing that its equipment func-
tions properly and is maintained as efficiently
as possible. It is a tremendous task to see that
all of the various types of Air Force equip-
ment, including the new gigantic aircraft, the
engines, the radio and radar equipment, and
all the other types of items necessary for the
successful operation of a world-wide air force,
are operated and maintained efficiently and
economically.
 The Air Force, like the manufacturer of a
commercial appliance, provides printed in-
structions for use in connection with its equip-
ment. These printed instructions, i.e., man-
uals, handbooks, sheets, charts, etc., which
provide technical instructions and informa-
tion pertaining to the operation and mainte-
nance of Air Force aircraft and equipment,
are referred to as "technical publications."
They are published and distributed by the Air
Materiel Command for and in the name of the
Secretary of the Air Force, in accordance with
AF Regulations 5-1, 5-10, and 20-1.
 With so many types of equipment affected,
it can be readily understood why there must
be a technical publications sistem, a well or-
ganized and planned procedure whereby in-
formation is obtained, compiled, published,
and distributed to the particular Air Force
activity which needs it. Years of experience
have resulted in the adoption of the standard
system outlined below (See Figure 2-6).
Attachment:
File comment: Major Groups and Types of Publications
Major Groups and Types of Publications (Cropped, Reduced, Converted).png
Major Groups and Types of Publications (Cropped, Reduced, Converted).png [ 564.21 KiB | Viewed 18394 times ]


Major Groups
 Three major groups, comprising appropri-
ate types of publications, form the standard
Air Force technical publications system. (See
Figure 2-6):
Technical Orders (including applicable Air
Force-Navy [AN] publications).
 Supply catalog (stock list) publications.
 Special publications.
 Technical Orders, including Air Force-
Navy (AN) publications and supply catalogs,
normally are issued on loose leaf pages of
standard size (8½ x 11 inches) to permit con-
venient assembly in uniform binders and
placement in the prescribed technical publica-
tion files.
 Special publications are issued in varied
forms and sizes, depending on the intended
usage. These technical publications normally
supplement or implement the information and
instructions. Typical examples of publications
belonging to this group are the aircrew check
lists and Air Force maintenance charts.

6. TECHNICAL ORDERS
 The first of the three groups of technical
publications includes Air Force technical or-
ders, including Air Force-Navy (AN) publica-
tions which comprise a comprehensive group
of publications issued to furnish Air Force
personnel with general technical information
on the use and operation of Air Force aircraft,
equipment and accessories, and specific oper-
ating, maintenance, overhaul, repair, modifi-
cation, storage, issue and inspection informa-
tion on particular items of aircraft and equip-
ment.
 Instructions and procedures contained in
Technical Orders are official Air Force direc-
tives and must be complied with as prescribed
therein. Technical Order publications are
readily identified by the prefix "T.O. No." to
the assigned publication number.
Note: For purposes of uniformity and
clarification, the term "technical order" when
used in this publication embraces all publica-
tions bearing the aforementioned "T.O. No."
prefix.
 Air Force-Navy (AN) publications are
published by joint agreement of the Air Force
and the Navy Bureau of Aeronautics. The
prefix "AN" indicates that the publication
was prepared in accordance with Air Force-
Navy aeronautical specifications. When ap-
plicable to Air Force aircraft or equipment,
AN publications will be regarded as being
identical in purpose with AF Technical Order
publications.

Types of Technical Orders
 The Technical Order group of publications
consists of the following four general types:

 Time-compliance Technical Orders.
 Standard handbooks.
 Miscellaneous Technical Orders.
 Parts catalog (including spare parts lists).

 A specific numbering system is employed
to identify all publications belonging to the
Technical Order group. The numbering sys-
tem used is illustrated in the Table of Con-
tents of T.O. 00-1-1, "Numerical Index of
Technical Publications."
 When only small quantities of equipment
are purchased for Air Force use, commercial
publications issued by the manufacturers
sometimes are accepted in lieu of standard
handbooks and parts catalogs. These commer-
cial publications are given Technical Order
numbers and are available only to activities
operating or maintaining the equipment in-
volved.

Time-compliance Technical Orders
Purpose. Publications of this type require
compliance within specified time limits and
provide for modifications of Air Force air-
craft and equipment or furnish supplemen-
tary instructions covering inspection and op-
erating procedures. In many cases time-com-
pliance technical orders contain specific in-
structions for operating personnel; in such
cases, commanders will be responsible for in-
suring that operating personnel become famil-
iar with the contents of publications of this
nature.
Types. Time-compliance Technical Orders
are grouped according to the importance and
urgency of the instructions contained therein.
Notes are employed immediately preceding
the text to specify when and by whom compli-
ance will be effected and the degree of ur-
gency. Time-compliance Technical Orders in-
clude the following types:

 Immediate action Technical Orders.
 Immediate attention Technical Orders.
 As soon as possible Technical Orders.
 As soon as practicable Technical Orders.

Format. Time-compliance Technical Orders
are published without a title page under the
heading "Department of the Air Force, Head-
quarters, United States Air Force, Washing-
ton," and bear the closing phrase "By Order
of the Secretary of the Air Force." Borders
or identification notes printed in red are used
to focus attention on the more urgent time-
compliance publications.
Immediate-action Technical Orders. Imme-
diate-action Technical Orders are identified
by the use of a border of red "X's" and the
words "Immediate Action" printed in red. The
border indicates that a red "X" must be en-
tered in the "status today" columns on AF
Forms 1-A, 1-AG and 41B. Immediate-action
Technical Orders contain emergency instruc-
tions applicable only to aircraft and aircraft
components, the urgency of which is such as
to require the immediate grounding of the
aircraft pending compliance. They specify
that the work outlined therein is to be accom-
plished immediately. Such Technical Orders
do not contain instructions of a continuing
nature, such as a requirement for subsequent
periodic inspection. The publication of imme-
diate-action Technical Orders is expedited by
HQ AMC as the instructions contained there-
in are of vital importance. Such Technical
Orders will be disseminated to all affected
personnel without delay.
Immediate-attention Technical Orders. Im-
mediate-attention Technical Orders are read-
ily identified by the words "Immediate Atten-
tion" printed in red at the top and bottom of
the first page. They are similar to immediate-
action Technical Orders except that they nor-
mally do not require work, except placarding
for the pilot's information or marking of
flight instruments. When applicable to air-
craft, these Technical Orders contain impor-
tant informational, operational, precaution-
ary, and restrictive instructions on conditions
which seriously affect the safety of flight of
the aircraft involved, but which do not require
its grounding.
 Immediate-attention Technical Orders are
also used for extremely urgent modifications
or inspection instructions pertinent to per-
sonal equipment, chemicals, vehicles and
other items of ground and communications
equipment, as an immediate action category
bears no "grounding" significance when ap-
plied to such equipment. The publication of
immediate-attention Technical Orders is ex-
pedited by HQ AMC as the instructions con-
tained therein are of vital importance. Such
publications must be disseminated to all af-
fected personnel without delay.
As-soon-as-possible Technical Orders. As-
soon-as-possible Technical Orders are printed
with a border of diagonal red lines which in-
dicates that a red diagonal must be entered
and carried in the "status today" columns on
AF Forms 1A or 1AG and 41B until com-
pliance has been effected. These Technical Or-
ders provide instructions pertaining to air-
craft and components and specify compliance
as soon as possible but not later than a speci-
fied inspection period. Such Technical Orders
normally require correction of defects affect-
ing the flying efficiency of aircraft which are
not sufficiently urgent or dangerous as to war-
rant grounding the affected aircraft. Compli-
ance with this type of Technical Order is nec-
essary before the aircraft can be considered
to be in first class mechanical condition. Pend-
ing compliance with such Technical Orders,
an "exceptional release" is required to clear
the aircraft for flight. Such publications must
be disseminated to all affected personnel with-
out delay.
As-soon-as-practicable Technical Orders.
As-soon-as-practicable Technical Orders con-
tain instructions which specify that the work
to be accomplished may be performed within
broader time limits than those specified for
the more urgent classes of time-compliance
publications. They require compliance when
accomplishment will not interfere with flying
schedules, unless local conditions necessitate
more urgent action, or when the affected air-
craft or equipment is undergoing overhaul or
other repairs. This type of Technical Order
contains instructions to remedy defects that
are not necessarily serious, but which must be
corrected to forestall possible future malfunc-
tioning or failure. They currently bear no dis-
tinguishing format or symbols to afford ready
identification and can be identified only by
reading the compliance requirements appear-
ing beneath the titles.
Other Types. In some instances, Technical
Orders are published to provide instructions
for modification of equipment; they may
cover the installation of special equipment;
they may deal with equipment for the per-
formance of special duties and missions which
are not normally made by all aircraft or equip-
ment of the same model or series. Compliance,
in such instances, is effected only upon issu-
ance by Hq., Air Materiel Command, of addi-
tional instructions directing the work to be
accomplished on specific aircraft or equip-
ment. Such Technical Orders can be identified
only by reading the compliance requirement
beneath the title (Figure 2-7).

Standard Handbooks
Purpose. Publications in this group contain
basic instructions and information relating
to operation, service, repair, and overhaul of
Air Force aircraft and equipment.
Format. Standard handbooks are usually
prepared by the equipment manufacturer in
accordance with Air Force-Navy (AN) or AF
specifications. These handbooks normally are
issued with a full size title page bearing the
assigned "AN" or "T.O." publication number,
with the word "HANDBOOK" preceding the
title. When a full size title page is used on a
standard handbook, it is backed with a basic
"A" page, followed by a series of pages num-
bered in lower case Roman numerals (i, ii, iii,
etc.) containing the table of contents and il-
lustrations of the equipment covered in the
publication. In cases where the material in a
Attachment:
File comment: Time Compliance Technical Orders
Time Compliance Technical Orders (Cropped, Reduced, Converted).png
Time Compliance Technical Orders (Cropped, Reduced, Converted).png [ 396.97 KiB | Viewed 18394 times ]

standard handbook covers only one or two
pages, the "A" page is omitted and a reduced
size title page containing identical informa-
tion is used preceding the text.
Types. Standard handbooks fall in one of
the following two categories (aircraft hand-
books and equipment handbooks):
Aircraft Handbooks. Aircraft handbooks
are issued for each series of standard A air-
craft to meet the needs of operating and serv-
ice personnel. Every effort is made to publish
these handbooks concurrently with the deliv-
ery of the aircraft to the service. Aircraft
handbooks consist of the following types of
publications:
 a) Flight operating instructions contain all
essential information required by the pilot
and flight crew to operate the airplane, includ-
ing all accessories and equipment, under all
operating conditions. However, instructions
pertaining to the basic technique of flying, or
the detailed operation of armament, commu-
nicating or other operational equipment are
omitted. Any unconventional characteristics
which the airplane may possess are clearly
described, together with the appropriate
countermeasures.
 b) Erection and maintenance handbooks
contain all essential information required by
service personnel for field maintenance pur-
poses to service and maintain complete air-
planes. They also deal with such service and
maintenance as can be accomplished by oper-
ating activities on engines, accessories, in-
struments and associated equipment while
installed in the aircraft. These handbooks
contain all maintenance instructions from
minor adjustments, tests, and inspections to
major disassembly and repair of the airframes
and controls with the exception of structural
repair, which is included in handbooks on
structural repair.
 c) Structural repair handbooks contain all
essential information required for determin-
ing the extent of any damage to the aircraft
and for its repair.
 d) Inspection and maintenance require-
ments handbooks for use by inspectors, crew
chiefs, mechanics, and other concerned per-
sonnel, are issued to insure that periodic in-
spections performed by such individuals meet
14 established standards of thoroughness. These
handbooks, which are being issued as rapidly
as possible to replace the present aircraft
inspection and maintenance guides, contain
brief, concise lists of aircraft, engine and as-
sociated equipment items which are to be
inspected at designated periods. They also
contain information pertaining to the accom-
plishment of minor maintenance work. The
information contained in these handbooks
will replace that contained in the inspection
section of the aircraft erection and mainte-
nance handbooks and the equipment opera-
tion and service instructions handbooks.
 e) Basic weight check list and loading data
handbooks contain detailed weight and bal-
ance data for specific models of aircraft for
use in the Handbook of Weight and Balance
Data, AN 01-1B-40. General information per-
taining to the AF system of weight and bal-
ance control of aircraft is outlined in Techni-
cal Orders of the 01-1B series.
Equipment Handbooks. Equipment hand-
books, covering specific items of airborne and
ground equipment, are issued to cover over-
haul procedures and, when necessary, to pro-
vide operating and service instructions for
these items of equipment. Equipment hand-
books include the following types of publica-
tions:
 a) Operation and service instruction hand-
books provide instructions for operating, stor-
age, service, routine maintenance and trouble
shooting data of items of AF equipment.
Complete handbooks of this type are issued
for items of ground equipment, and for the
more complicated airborne accessories and
systems, such as remote control turret sys-
tems, which cannot be adequately covered in
the standard handbooks for aircraft.
 b) Overhaul instruction handbooks contain
information for the disassembly, inspection,
repair, reassembly, and testing after overhaul
of AF equipment other than aircraft.

Miscellaneous Technical Orders
General. Publications of this type are is-
sued for specific purposes to disseminate in-
formation and instructions not provided for
in standard handbooks. Generally speaking,
these Technical Orders cover a wide range of
subjects which, in some instances, cannot be
readily grouped into distinct classes. Miscel-
laneous Technical Orders include indexes of
various kinds, lists of applicable publications
for individual aircraft models, kits and sets
of equipment publications, radio facility pub-
lications, parts interchangeability publica-
tions, engineering manuals, and technical or-
ders which explain systems and procedures
governing technical publications, classifica-
tion of equipment, maintenance, overhaul and
supply of AF equipment.
Format. Miscellaneous Technical Orders
are issued with full size title pages and “A”
pages, except when the material in such pub-
lications is limited to a few pages and when a
reduced size title page may be advantageously
used. Arrangement of data in such Technical
Orders varies in accordance with the intended
purpose of each publication and usually does
not follow any prescribed specifications such
as those established for standard handbooks.
Indexes. Indexes are issued to familiarize
AF personnel with the availability and status
of technical publications. The basic index, cov-
ering the entire technical publications system
covered herein, is T.O. 00-1-1, Numerical In-
dex of Technical Publications, more fully de-
scribed later in this section, and referred to
hereinafter as the "numerical index." Sepa-
rate indexes or lists are issued to cover publi-
cations relating to specific types of equipment
such as communications, armament, vehicles,
marine, and motorized equipment.
Lists of Applicable Publications. Lists of
applicable publications for individual aircraft
series are issued and augmented by cumula-
tive supplements to enable AF personnel to
select and become familiar with technical pub-
lications pertinent to assigned aircraft. The
applicable publications indicated in these lists
are arranged numerically with important sup-
plementary data denoting the type of each
publication, time and place for any required
compliance action, the forms on which entries
are required, periodic inspection periods, and
the serial numbers of aircraft affected. Lists
of applicable publications are effectively em-
ployed as check lists for compliance with
Technical Orders and also assist in determin-
ing publications required for limited technical
publication files.
 Kit Publications. Kits and sets of equip-
ment Technical Orders, commonly known as
the "00-30" series, itemize components of kits
and sets of equipment which are prescribed
in equipment authorization tables (Tables of
Organizational Equipment and Tables of Al-
lowances).
U.R. Digest (T.O. 00-10-1). The U.R. Digest
contains data regarding corrective actions for
unsatisfactory conditions reported by service
activities when such actions are not manda-
tory but are of value to the service. The infor-
mation is arranged under appropriate sub-
jects with brief explanations of the difficulty,
its cause, and the recommended corrective
action.
Radio Facility Publications. Radio facility
publications are issued primarily to make
available to pilots, navigators, and radio oper-
ators, current information on radio aids to
navigation. This type includes the AF Radio
Facility Charts, T.O. 08-15-1, and AF Radio
Data and Flight Information, T.O. 08-15-2.
Microfilm Drawings. T.O. 00-5-4, "Explana-
tion of the Distribution and Numbering Sys-
tem for Microfilm Indexes," is a miscellaneous
Technical Order. The indexes referred to
therein, however, are special publications
(Figure 2-8).

Parts Catalogs and Spare Parts Lists
Purpose. Parts catalogs are issued for the
primary purpose of identifying parts and to
act as aids in the requisitioning of parts for
AF aircraft and equipment. A similar purpose
is served by spare parts lists which are issued,
in most instances, to cover communications
equipment.
Contents. Parts catalogs usually contain a
section providing a numerical parts list and
another section outlining these data by group
assemblies with illustrations of such assem-
blies. Complete nomenclature and part num-
bers are provided in these catalogs. In most
instances the part numbers shown are those
of the manufacturers. Spare parts lists are
less comprehensive publications containing
a detailed listing of items with assembly
designations, descriptions, and manufactur-
er's part numbers.
Attachment:
File comment: Miscellaneous Technical Orders
Miscellaneous Technical Orders (Cropped, Reduced, Converted).png
Miscellaneous Technical Orders (Cropped, Reduced, Converted).png [ 470.39 KiB | Viewed 18394 times ]

Format. Parts catalogs and spare parts
lists are published with title pages and "A"
pages similar in design to those employed for
standard handbooks, except that the words
"Parts Catalog" or "Spare Part List" precede
the names of the equipment covered by these
publications. Data contained in these publica-
tions are arranged in tabular form.

Supply Catalogs (Stock Lists)
 The purpose, contents, and use of Air Force
supply catalog will be discussed in the section
titled "Armament Supply."

7. SPECIAL PUBLICATIONS
General
 Publications in this group are issued to im-
plement or sometimes supplement informa-
tion or procedures contained in technical or-
ders. In most instances, a special publication
is a more convenient medium for usage on the
job, as it is designed in a size and form to
serve best the intended purpose.

Principal Types
Air Crew Check Lists. Air crew check lists,
printed on 5 inch x 8 inch cards for convenient
usage, are issued primarily for transition
training purposes. Separate check lists of this
type are issued for pilots and other crew mem-
bers. All such check lists are published under
the authority of AF Regulation 62-2.
Indexes of Microfilm Drawings. Original
engineering drawings of aircraft, engines and
accessories are reproduced on microfilm for
limited distribution to USAF activities. In-
dexes are published and are made available
only with sets of microfilm drawings in ac-
cordance with AF Regulation 5-17. Instruc-
tions on the use of microfilms and microfilm
equipment are contained in T.O. 10-1-135. An
explanation of the methods used for indexing,
requisitioning, and distributing microfilm
drawings is contained in T.O. 0-5-4.
Printed Drawing Books. Printed drawing
books are bound reproductions of engineering
drawings in 22 x 34 inches and 17 x 32 inches
size, covering certain types of aircraft or air-
craft accessories manufactured by a specific
contractor. Procurement and distribution of
new printed drawing books and revisions
thereto is no longer being made.
AF Maintenance Charts. Maintenance in-
struction charts and engine limits and lubri-
cation charts are charts 22 x 34 inches and
20 x 30 inches respectively, for use by main-
tenance personnel in the maintenance of AF
equipment and for instructional purposes.
They are available upon requisition only. Pro-
curement of new engine limits and lubrication
charts is no longer being made.

Changes to Publications
Methods Employed. Changes to existing
Technical Orders and special publications are
made either by means of revisions, reissues,
supplements, appendixes or addenda. Use of
loose-leaf format permits efficient, econom-
ical, and speedy revision of many types of
technical publications within the system. Re-
moval of publications from active status is
accomplished by rescission or replacement.

Indexing and Numbering
Indexing. General. Official listing of active
Technical Orders, supply catalogs (stock
lists) and special publications is accomplished
in the numerical index, which is issued at ex-
tended intervals and augmented every two
weeks by a cumulative supplement. The nu-
merical index and supplements thereto pro-
vide a ready reference to existing publications
and are used in maintaining publication files
in current status.
Note: To determine what publications are
active and available, it is necessary to use only
the current cumulative supplement in con-
junction with the basic numerical index.
Basic Numerical Index (T.O. 00-1-1). The
basic numerical index lists all active publica-
tions within the system which have been dis-
tributed to AF activities prior to the publica-
tion date shown on the title page of the index.
When reissued, the basic numerical index is
revised to delete listings of rescinded or re-
placed publications and to incorporate data
concerning publications distributed since the
previous issue of the basic index.
Supplements. Supplements of the numerical
index contain lists of newly issued, revised,
reissued, superseded, replaced, and rescinded
publications. All such supplements are cumu-
lative and are numbered T.O. 00-1-1A, -1B,
etc. Cumulative supplements also list all pub-
lications, including revisions and reissues,
scheduled for future distribution.

Numbering
General. Numbers are assigned to Techni-
cal Orders, supply catalogs (stock lists), and
some categories of special publications for
purposes of ready identification, indexing,
referencing, and filing. The assigned numbers
follow the appropriate identifying prefix,
such as "T.O. No." for technical orders, "S"
for supply catalogs (stock lists), "C" for AF
maintenance charts, and "MF" for microfilm
drawing indexes.
Technical Orders. Technical Orders, includ-
ing AN publications, are assigned numbers of
two or more parts (usually three parts), sepa-
rated by dashes. The first part of the number
identifies a particular section of publications
in the numerical index, i.e., "01" indicates
Technical Orders in Section 01, "Aircraft
Publications." The second part of the number
is related to the series and subseries to which
a Technical Order is assigned for proper
grouping of equipment by type, system,
model, or manufacturer. Alphabetical letters
are added to the second part of the number to
segregate further the equipment covered. The
final part of the number is employed to list
numerically, Technical Orders within a given
series or subseries, i.e., -1, -2, -3, etc. A suffix
letter is added to this part of the number
when supplementary information is issued as
a separate publication.
Aircraft Inspection and Maintenance Pub-
lications. Guides.
Existing aircraft inspection
and maintenance guides are basically num-
bered "00-20A" to indicate the relationship
of these publications to T.O. 00-20A, "USAF
Aircraft and Related Airborne Equipment In-
spection and Maintenance System." This
basic number is followed by the aircraft series
number applicable to each guide. For example,
the inspection guide for B-29 aircraft is num-
bered "00-20A-B-29." A prefix is not em-
ployed for these publications.
Inspection Handbooks. In the future, in-
spection and maintenance requirements will
be published in the form of standard hand-
books in the applicable aircraft Technical
Order series. The number to be assigned will
normally be the "-6"; for example, the in-
spection and maintenance requirements hand-
book for the B-36 aircraft is numbered "T.O.
01-5FUA-6."
AF Maintenance Charts. Maintenance
charts are numbered in a manner similar to
Technical Orders, except that the prefix "C"
is used instead of "T.O. No."
Indexes of Microfilm Drawings. Microfilm
drawing indexes are numbered in the same
manner as Technical Orders, except that the
prefix "MF" is used to distinguish this type
of publication from standard Technical Or-
ders.

Security Classification
 Technical Orders, supply catalogs (stock
lists), and special publications are published
as unclassified, restricted, or confidential doc-
uments. The classified publications (restricted
and confidential) are appropriately marked on
their title pages and, when required, on all
subsequent pages of such publications. Pub-
lications listed in the numerical index, and
supplements thereto, are unclassified except
when the word "RESTRICTED" or "CON-
FIDENTIAL" appears in bold face type imme-
diately following the title of the publication.
 Classified publications in file which have
been downgraded are not reprinted and dis-
tributed merely to reflect a change in classi-
fication. Revisions or reissues to such publica-
tions, however, will reflect the current classi-
fications. Confidential publications must be
maintained in separate file and safeguarded in
accordance with the provisions of AR 380-5.
 Rescinded and replaced (or superseded)
publications, which are no longer required,
will be removed from the file and disposed of
as follows:
 If unclassified, dispose of in accordance with
instructions of the local salvage officer.
 If classified, destroy in accordance with the
provisions of Army Regulation 380-5.
Note: Additional information on technical
publications can be found in T.O. 00-5-1.
 The Air Force technical publications are
listed numerically in T.O. 00-1-1.
 The alphabetical Index of Technical Pub-
lications is T.O. 00-1-2.

(Source: Air Force Armament, vol. 1, ConAC Manual 50-1 (Mitchel Air Force Base, New York: Headquarters, Continental Air Command, 31 May 1949), 2-5-2-14.)

_________________
Tri-State Warbird Museum Collections Manager & Museum Attendant

Warbird Philosophy Webmaster


Top
 Profile  
 
PostPosted: Wed May 07, 2025 12:33 am 
Offline
2000+ Post Club
2000+ Post Club
User avatar

Joined: Tue Aug 28, 2012 4:48 pm
Posts: 2023
Location: Cincinnati, Ohio
In a blog post on AirCorps Aviation, Ester touched on the changeover from the AN to T.O. format in 1953. However, there is another, less significant change I wanted to know about. At some point after World War II the portion of the title that comes after the type of technical order on the title page switched from a serif to a san-serif font. Simultaneously, any conjunctions and prepositions were dropped. After looking through a series of manuals to continuously narrow down the window, it appears the restyle occurred between 19 September 1947, when a revised edition of T.O. 5-3-1 was published, and 4 November 1947, when a revised edition of AN 01-90CD-2 was published. The former would of course be only one day after the United States was officially formed as a separate branch.

Similarly, it seems at some point between 25 September 1945, when a revised edition of AN 01-25CN-1 was published and 6 July 1948, when a revised edition of AN 01-90KA-1 was published, the word "Pilot's" was dropped from the "-1" manuals so that "Pilot's Flight Operating Instructions" became "Handbook, Flight Operating Instructions". However, the phrase "Pilot's Handbook" does appear as late as 6 June 1946, when an original edition of AN 01-110FPR-1 was published. It may be worth noting that, "Pilot's Handbook" - as opposed to "Flight Operating Instructions" appears to be more common in manuals for Navy aircraft.

Lastly, the phrase "illustrated" - as in "Illustrated Parts Breakdown" - does not appear the title of an official USAAF or USAF aircraft manual until 15 July 1953, when a revised edition of AN 01-90CDB-4 was published. Meanwhile, it appears in Navy manual in 1 April 1952, when an edition of NAVAER 01-45HD-504 was published under the title "Illustrated Maintenance Parts List".

_________________
Tri-State Warbird Museum Collections Manager & Museum Attendant

Warbird Philosophy Webmaster


Top
 Profile  
 
PostPosted: Sat May 10, 2025 1:34 pm 
Offline
2000+ Post Club
2000+ Post Club
User avatar

Joined: Tue Aug 28, 2012 4:48 pm
Posts: 2023
Location: Cincinnati, Ohio
At some point after World War II, two letters (frequently followed by a double zero) were added to certain technical order numbers to indicate their purpose. They include:
  • CF - Check Flight
  • CL - Check List
  • FI - Fault Isolation
  • FR - Fault Reporting
  • GE - General Equipment
  • GS - General System
  • GV - General Vehicle
  • JG - Job Guide
  • TS - Troubleshooting
  • WC - Work Card
  • WD - Wiring Data

Ester also states in her blog post how certain dash numbers were tied to certain manuals. (e.g. "-4" manuals were always parts catalogs) It appears that more of these connections were developed postwar:

  • -6CF-1 - Functional Check Flight Procedures
  • -33-1-1 - Nonnuclear Munitions Loading Procedures

Lastly, a C-141 Handbook has a list of applicable technical orders starting on page xi that is particularly useful as an illustration of how modern examples are organized.

_________________
Tri-State Warbird Museum Collections Manager & Museum Attendant

Warbird Philosophy Webmaster


Top
 Profile  
 
PostPosted: Mon Aug 18, 2025 2:19 pm 
Offline
2000+ Post Club
2000+ Post Club
User avatar

Joined: Tue Aug 28, 2012 4:48 pm
Posts: 2023
Location: Cincinnati, Ohio
As a fun little aside showing the influence of technical orders - and by extension popular culture - are the existence of Star Trek technical manuals. The influence of aviation on the series is well known, with both creator Gene Roddenberry and set designer Matt Jeffries being pilots. As a matter of fact, both served in the USAAF during World War II - which would have made them intimately familiar with technical orders. What's more, the first example, the Star Trek Star Fleet Technical Manual, was created in 1975 by Franz Joseph, a technical artist at Convair, and blessed by Roddenberry. (Joseph even uses the term "technical order" and "T.O." in an interview from 1984.) Although this version was intended for commercial sale, it, as well as later entries in the series, acted as "series bibles" for the show writers. The genre has apparently been incredibly popular with fans, with somewhere between 55 and 145 technical manuals or similar type books published depending on how you count.

As a final note, if there is any doubt as to the connection to Air Force manuals, a quick look at, for instance, the Star Trek: The Next Generation Technical Manual confirms it. The book has the same dual column, annotated figure, multilevel numbering format as the real thing.

EDIT (25-09-05): As a further bit of evidence that was pointed out in a post in another thread, Mr. Jeffries maintained a large collection of technical orders and manuals that are now in the special collections at Wright State University.

_________________
Tri-State Warbird Museum Collections Manager & Museum Attendant

Warbird Philosophy Webmaster


Last edited by Noha307 on Fri Sep 05, 2025 12:40 pm, edited 1 time in total.

Top
 Profile  
 
PostPosted: Fri Sep 05, 2025 12:36 pm 
Offline
2000+ Post Club
2000+ Post Club
User avatar

Joined: Tue Aug 28, 2012 4:48 pm
Posts: 2023
Location: Cincinnati, Ohio
Another notable cover change was the move from a prewar to wartime format. It appears the switch occurred between the 10 August 1942 edition of T.O. 03-15A-1 and the 15 August 1942 edition of T.O. 01-25CJ-2. However, there is still a transitional period that lasts until at least the 5 October 1942 edition of T.O. 01-25CK-3. It is characterized by the text of the purpose of the manual being printed larger than all other text and the continued use of non-bolded text for the technical order number in the upper right of the title page. Even after these conventions are dispensed with - as had occurred by the 10 January 1943 edition of T.O. 01-60JB-1 - one pre-war legacy remains: the propeller and wings insignia. It takes longer to disappear and is last seen on the 25 February 1943 edition of T.O. 01-25C-2. The earliest manual without them is the 20 June 1943 edition of T.O. 01-25CH-1.

It is important to note that it may be the case that title pages were only updated as necessary. If so, older designs on revised editions may have been printed after the change over date. One way to potentially eliminate this is to compare different editions of the same manual for the same aircraft. For instance, although they are for different variants, the 5 July 1942 edition of T.O. 01-25CF-3 shows the old format, whereas the 5 October 1942 edition of T.O. 01-25CK-3 (already mentioned above) displays the transitional one.

Now, you may be asking, "who the heck cares? It's just a minor stylistic change!" To be fair, in many ways this is a reasonable objection. However, compared to the example mentioned in a previous post, this one is a bit more critical, however, as it is an indicator of a major change in format of the contents of the manual. For example, this is when three-view drawings start replacing pictures in erection and maintenance manuals.

To take it one step further, like the example of the sectionalized handbooks mentioned in a previous post, they are indicative of changes in the broader military aviation environment. The prewar manuals exhibit a much more "amateur" appearance, with the text being created with a typewriter. The wartime examples are much more expertly printed - evidence of the professionalization of the USAAF that occurred due to the war. Furthermore, as exemplified by the work of Sarah Clark, the expansion meant the imposition of standards was critical. Just like it was no longer possible to build aircraft engines by match fitting parts by hand, manuals had to have certain similar characteristics. (This is seen in the creation of the AN system and later, for civilian aircraft, the pilot's operating handbook, as mentioned in a post in another thread.)

_________________
Tri-State Warbird Museum Collections Manager & Museum Attendant

Warbird Philosophy Webmaster


Top
 Profile  
 
PostPosted: Mon Nov 17, 2025 9:47 pm 
Offline
2000+ Post Club
2000+ Post Club
User avatar

Joined: Tue Aug 28, 2012 4:48 pm
Posts: 2023
Location: Cincinnati, Ohio
For those who missed it, Aviation Cultures, the online conference series, held a Logbooks and Avdocs spotlight on November 8th. Among the presenters was Ester Aube of AirCorps Library, who gave a talk titled Aircraft Technical Documentation: Military Organizational Systems & Their Development During WWII about the USAAF technical order system. She also presented a document called Decoding WWII Era US Military Document Numbering:
Ester Aube wrote:
DECODING WWII ERA US MILITARY DOCUMENT NUMBERING
               By Ester Aube

Breaking Down A Document Number
During WWII, document numbers were standardized in format. However, depending on the topic
of the manual, the individual areas of a document number could mean different things. Using the
two document numbers below as examples, the following paragraphs will define what each area
of the document number means, with the specific definition pertaining to each of the two
example document numbers bulleted below the definition:

  • T.O. No. 01-60JC-4
  • AN 03-10BA-88

During WWII, document numbers had the relatively standardized format of including three
distinct sections, each separated by a dash(-).

   Overall Identifiers:
   These identifiers come before the document number itself, and can be an indicator of the
   time frame when a document was published.
    • T.O. No.” stands for “Technical Order Number” and was the designation used on
      documents prior to WWII and through part of 1943.
    • AN” stands for “Army-Navy Number” and was the designation given to
      documents between approximately 1943 and 1953. In 1953 the Navy continued
      to use a variation of AN numbers, while the Army/Air Force transitioned back to
      identifying their documents with “T.O. numbers”.

   Section Numbers:
   Series numbers, or section numbers as they were later called, are the first set of digits in
   a document number. These numbers tell the user the very broad overall topic of the
   document.
    • The “01-” in T.O. No. 01-60JC-4 indicates that this manual is about an aircraft.
    • The “03-” in AN 03-10BA-88 indicates that this manual is about an aircraft
      accessory
      .
    • Examples of other series/section numbers were as follows in 1944, although
      there are many more:
      • 02- = Engines & Maintenance Parts
      • 04- = Aircraft Hardware & Rubber Materials
      • 05- = Aircraft Instruments & Laboratory Test Equipment
      • 06- = Fuels & Lubricants
      • 07- = Dopes, Paints & Related Materials
      • 08- = Electrical Equipment & Supplies

   Series Numbers:
   The series number is the second set of digit(s) that follow the first dash in the document
   number. This set of numbers indicated the manufacturer when the section number
   preceding it defined the document as an aircraft, or engine manual. For other types of
   manuals, the series number could indicate other things, such as an aircraft system or
   object type.
    • The “60” in T.O. No. 01-60JC-4 indicates that this manual is about an aircraft
      manufactured by North American Aviation.
    • The “10” in AN 03-10BA-88 indicates that this manual is about an aircraft
      accessory that is part of the Fuel System.
    • Each aircraft manufacturer had a unique series number under which all of their
      aircraft manuals were identified - several examples are:
      • 01-15 = Northrop
      • 01-25 = Curtiss
      • 01-40 = Douglas
      • 01-65 = Republic
      • 01-90 = Beechcraft
    • Series numbers always increased in increments of 5

   Alphabetical Codes:
   When a document is related to an aircraft or engine, the letters that follow the series
   number can be thought of as “Make & Model” codes. For documents that are not in
   these categories, the letter codes can indicate a variety of information, such as
   manufacturer, or item type. Each letter in these alphabetical codes has its own unique
   meaning, not a single topic identified by two letters.
    • The “JC” in T.O. No. 01-60JC-4 indicates that this manual is about an aircraft
      manufactured by North American Aviation. The J indicates that the manual is for
      Fighter aircraft, and the C indicates that fighter as a P-51A
    • The “BA” in AN 03-10BA-88 indicates that this manual is about an aircraft
      accessory that is part of the Fuel System. The B indicates that this manual is for
      a Carburetor, and the A indicates a Bendix-Stromberg pressure injection
      type
      carburetor.
    • Alphabetical codes can be confusing because they are often close, but not
      matching, to the item or model letter that they are describing.

   Document Identifiers:
   The third series of numbers after the second dash in a document number is the unique
   identifier for the document itself. These numbers are sometimes followed by a letter,
   which indicates a supplemental or revision of the original document.
    • The “-4” in T.O. No. 01-60JC-4 indicates that this is a Parts Catalog for the North
      American Aviation P-51A.
    • The “-88” in AN 03-10BA-88 indicates that this is the 88th document that was
      published relating to Bendix-Stromberg pressure injection type carburetors.
    • The following four document identifiers always mean the same thing when seen
      at the end of aircraft documents:
      • -1 = Pilot’s Flight/Operation Manual
      • -2 = Erection & Maintenance Manual
      • -3 = Structural Repair Manual
      • -4 = Parts Manual
    • Document numbers that end with a digit(s) higher than “-4” pertain to a
      variety of topics and are not standardized by type of document.

Helpful Resources
The original purpose of the documents listed below was to help military personnel understand
how document numbers were organized, and grouped documents of similar topics together.
These documents were revised multiple times during the course of WWII, and their titles have
morphed in the succeeding years. Looking at multiple copies from different dates helps the user
better understand how the document numbering system evolved over time. It should not be
assumed that a document number from the 1940s indicates the same topic category even 10
years later.
  • T.O. No. 00-1 = Index of Technical Publications and Information
  • T.O. No. 00-1-1 = Numerical Index of Technical Publications
  • T.O. No. 00-1-2 = Alphabetical Index of Technical Publications
  • T.O. No. 00-2 = Alphabetical Index of Technical Publications
  • T.O. No. 00-4 = Numerical Index of Confidential Publications
  • T.O. No. 0-4-1 = Cross Reference of Former to New Numbers for Air Force Technical
    Publications
  • T.O. No. 00-5-1 = Air Force Technical Order System
  • T.O. No. 00-5-3 = Publications Requirement Table

                        Ester Aube
                   Manager, AirCorps Library
                 estera@aircorpsaviation.com

                  www.AirCorpsLibrary.com

Ester also has another blog post covering the set of latest revision P-51D manuals AirCorps Library released in 2019. In the post she goes into what it took to create the manuals and in the process offers a look as to how technical orders were updated.

Lastly, peruse technical orders long enough and you will eventually encounter black lines in their margins. These lines, indicating changes from the previous version, align with paragraphs in a similar way to how braces, or curly brackets, are sometimes used to group together sentences when editing. This practice comes from law, where it is called "legal blacklining" and serves essentially the same purpose.[1] (Interestingly, just as the concept of forms have been preserved in spreadsheet software, modern word processing software still has built in edit tracking functionality.)

_________________
Tri-State Warbird Museum Collections Manager & Museum Attendant

Warbird Philosophy Webmaster


Top
 Profile  
 
Display posts from previous:  Sort by  
Post new topic Reply to topic  [ 14 posts ] 

All times are UTC - 5 hours


Who is online

Users browsing this forum: Google [Bot] and 260 guests


You cannot post new topics in this forum
You cannot reply to topics in this forum
You cannot edit your posts in this forum
You cannot delete your posts in this forum
You cannot post attachments in this forum

Search for:
Jump to:  
Powered by phpBB® Forum Software © phpBB Group